
ethanol基本信息
读法:英 ["eθənɒl] 美 ["ɛθənɔl]
释义:
使用频率:★
星级词汇:★
英英释义
Noun:
中英词源
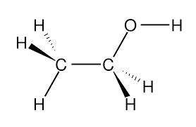
ethanol 乙醇
来自ethane, 乙烷。-ol, 酒精,来自alcohol.
- ethanol (n.)
- "ethyl alcohol," 1900, contracted from ethane, to which it is the corresponding alcohol, + -ol, here indicating alcohol.
词态变化
权威造句
- 1. This fact shows that MTBE and ethanol retard the oxidation of alkanes.
- 这表明,在燃烧的起始阶段,MTBE、乙醇有抑制烷烃燃烧的作用.
来自互联网
- 2. Alcohol dehydrogenase An enzyme that converts ethanol into acetaldehyde ( ethanal ).
- 醇脱氢酶:把乙醇转化为 乙醛 的酶.
来自互联网
- 3. In Brazil nearly all new cars are able to run on ethanol.
- 在巴西几乎所有的新车都能够使用乙醇燃料.
来自互联网
- 4. Its plants require less capital than those for ethanol.
- 开展生物柴油的生产不需要像乙醇那样投入那么多资金.
来自互联网
- 5. Objective : To investigate toxicity of ethanol extracts from hippocampus.
- 目的研究海马乙醇提取物的毒性作用.
来自互联网
近反义词
相似短语
单词分析
暂无,等待补充.Www.WeNtIYI.COM
记忆方法
暂无,等待补充.
版权声明:问题易所有作品(图文、音视频)均来源网络,版权归原创作者所有,与本站立场无关,如不慎侵犯了你的权益,请联系我们告知,我们将做删除处理!
