| |
||
| 单位 | ||
| 结果: | |
| Cubic Unit | |
| Square Unit | |
一个半圆绕直径所在直线旋转一周所成的空间几何体叫做球体,简称球,半圆的半径即是球的半径。球体是有且只有一个连续曲面的立体图形,这个连续曲面叫球面。

球体的性质
用一个平面去截一个球,截面是圆面。球的截面有以下性质:
1 球心和截面圆心的连线垂直于截面。
2 球心到截面的距离d与球的半径R及截面的半径r有下面的关系:r^2=R^2-d^2
球面被经过球心的平面截得的圆叫做大圆,被不经过球心的截面截得的圆叫做小圆。
在球面上,两点之间的最短连线的长度,就是经过这两点的大圆在这两点间的一段劣弧的长度,我们把这个弧长叫做两点的球面距离。
球的表面积计算公式

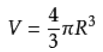
球的体积计算公式

球是以半圆的直径所在直线为旋转轴,半圆面旋转一周形成的旋转体,也叫做球体。球的表面是一个曲面,这个曲面就叫做球面,球的中心叫做球心。
连接球心和球面上任意一点的线段叫做球的半径。
连接球面上两点并且经过球心的线段叫做球的直径。
表示的球面的球心是(a,b,c),半径是R。
